電話:13570151199
傳真:020-39972520
地址:廣東省廣州市番禺區東環街番禺大道北555號天安總部中心30號樓6層
真空變壓吸附上活性炭對氫氣的凈化
氫是很有潛力的二次能源。與傳統化石燃料相比,氫具有零污染和廣泛可用的來源的優勢,并且被認為是重要的能源載體。目前,大部分的氫的生產是用天然氣和蒸汽甲烷重整制備。但是這種工藝會釋放出包含H2,CH4,CO2,N2和CO的氣體混合物,氫凈化是氫能利用的重要組成部分。本次我們實驗通過用活性炭進行真空變壓吸附和變壓吸附作為氫純化的方法,測試活性炭對于氫凈化效果。
目前,超過85%的制氫公司使用變壓吸附技術來純化氫氣。變壓吸附是真空變壓吸附的基礎。與變壓吸附相比,真空變壓吸附的效率和生產率更高。在這項研究中,多組分氣體(H2/CO2/CH4/CO/N2=0.79/0.17/0.021/0.012/0.007)的氫氣純化是通過一塔真空變壓吸附和變壓吸附進行的。比較了活性炭和沸石吸附劑的吸附能力。選擇活性炭作為氫純化的吸附劑,因為與活性炭摻沸石相比,活性炭具有更大的吸附能力。此外,建立了10個步驟的變壓吸附循環模型,以模擬氫的凈化性能。
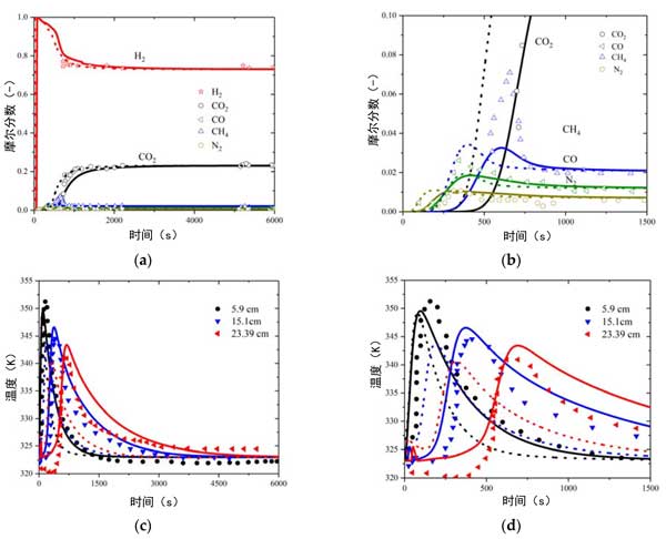
活性炭和活性炭摻沸石吸附床的突破曲線
活性炭和活性炭摻沸石中五組分混合物的摩爾分數模擬結果如圖1所示,與實驗結果非常吻合。從圖1可以看出,每種組分的穿透時間是不同的。氫被輕度吸附并迅速達到突破點。氮氣是第一個突破吸附床的氣體,其次是一氧化碳,而甲烷和二氧化碳則是最后一個突破吸附床的氣體。主要原因是不同氣體的吸附性能不同。活性炭和活性炭摻沸石吸附劑對每種氣體組分的吸附能力如下:CO2>CH4>CO>N2>H2。在吸附過程中,弱吸附物從吸附床解吸并重新整合到氣流中,因此在穿透曲線中出現了明顯的峰值。如圖1所示,活性炭中的被吸附物穿透吸附床的速度比活性炭摻沸石中的慢,而活性炭中的穿透曲線的峰值低于活性炭摻沸石。這意味著活性炭比活性炭摻沸石可以吸收更多的二氧化碳,甲烷,一氧化碳,氮和氫。除了氫以外,CO2是混合物中較豐富的成分,雖然氫的吸附量很小,但CO2的吸附量更多。因此,在這種情況下,CO2的吸附量選擇吸附劑作為吸附劑吸附能力的指標。活性炭比活性炭摻沸石吸附的二氧化碳多了17.80-25.75%。

圖1:活性炭和活性炭摻沸石的突破曲線(a,b)和溫度曲線(c,d)。
當氣體被吸附時,吸附床的溫度將升高,而當氣體被解吸時,其溫度將下降。然而,由于吸附床與環境之間的熱傳遞,吸附床的溫度最終將下降至初始值。活性炭摻沸石中的溫度峰值低于活性炭中的溫度峰值,這主要是因為活性炭摻沸石中的吸附熱量和吸附量小于活性炭中的吸附熱量和吸附量。
氫氣凈化的參數研究
進料時間的影響如圖2所示。當進料時間從101秒增加到151秒時,氫氣純度降低了0.53-1.07%,氫氣回收率提高了8.66-15.30%。當進料時間從151秒增加到201秒時,氫氣純度降低了0.82–1.71%,氫氣回收率提高了3.77–6.64%。當真空變壓吸附系統達到循環穩態時,延長進料時間會增加出口處的不純氣體量,這會導致氫氣純度下降,但由于進料到吸附床的氫氣量增加,氫氣回收率增加。當吹掃時間長并且進料時間增加時,氫純度變化率降低,并且氫回收率變化率增加。

圖2:進料時間和吹掃時間對真空變壓吸附循環的氫純度(a)和回收率(b)的影響。
活性炭凈化時間的影響如圖2所示。當吹掃時間從40秒增加到70秒時,氫氣純度提高了0.44–1.35%,氫氣回收率降低了2.61–6.57%。當吹掃時間從70秒增加到100秒時,氫氣純度提高了0.21-0.76%,氫氣回收率降低了2.91-7.19%。隨著吹掃時間的增加,在吹掃步驟中氫氣的摩爾分數增加,因為更多的不純氣體從吸附劑中解吸出來。因此,隨著吸附劑的循環利用,這些雜質的摩爾分數降低,因此隨著凈化時間的增加,氫純度也隨之提高。但是回收率下降了,當進料時間短并且吹掃時間增加時,氫純度變化率降低,并且氫回收率變化率增加。
真空變壓吸附上活性炭對氫氣的凈化,分析和比較了活性炭和活性炭摻沸石吸附劑,以及大氣壓和真空變壓吸附循環。得到以下結論。從多組分氣體中純化氫時,活性炭具有比摻沸石的吸附能力更高,吸附量能多了17.80-25.75%。在真空變壓吸附的氫氣提純性能優于變壓吸附。因此,進一步研究和優化了用于氫氣純化的真空變壓吸附系統的參數。結果表明,進料時間對氫純度有負面影響,對氫回收率有正面影響,而吹掃時間對氫純度有正面影響,對氫回收率有負面影響。結果表明,進料時間設定為223秒,吹掃時間為96秒時,氫回收率高達到88.65%,進料時間設定為100秒,吹掃時間為45秒時氫純度高達到99.33%,活性炭很適用于氫氣生產工業中的吸附劑材料。
文章標簽:椰殼活性炭,果殼活性炭,煤質活性炭,木質活性炭,蜂窩活性炭,凈水活性炭.推薦資訊
- 2026-02-25活性炭吸附處理啤酒廠廢水
- 2026-02-13活性炭吸附處理含汞廢氣
- 2026-02-04活性炭用于從廢水中吸附去除微量鎘和鉛
- 2026-01-28活性炭潔牙粉專用
- 2026-01-20活性炭在廢氣處理中的一些常識
- 2026-01-13活性炭在精制糖生產中的脫色效果
- 2026-01-07活性炭對咪唑基離子液體的吸附性能
- 2025-12-24活性炭改性增強對乙酰氨基酚的吸附
- 2025-12-15活性炭吸附馬兜鈴酸
- 2025-11-27超細活性炭5000目粉末活性炭
- 2025-11-26活性炭在硫化橡膠襯套中的應用
- 2025-11-19活性炭吸附重晶石混合物中的銅和鋅
